Официальное опубликование правовых актов
ОФИЦИАЛЬНОЕ ОПУБЛИКОВАНИЕ
Приказ Министерства труда и социальной защиты Российской Федерации от 20.07.2022 № 425н
"Об утверждении профессионального стандарта "Специалист по автоматизации информационно-аналитической деятельности"
(Зарегистрирован 22.08.2022 № 69718)
Номер опубликования: 0001202208220012
Дата опубликования: 22.08.2022
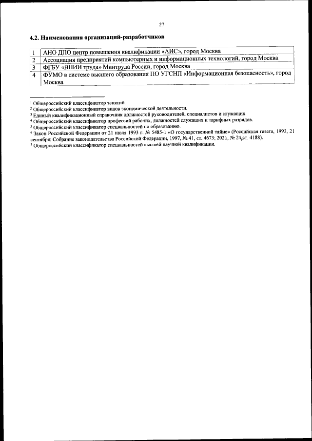
Страница №28 из 28:
Увеличить