Официальное опубликование правовых актов
ОФИЦИАЛЬНОЕ ОПУБЛИКОВАНИЕ
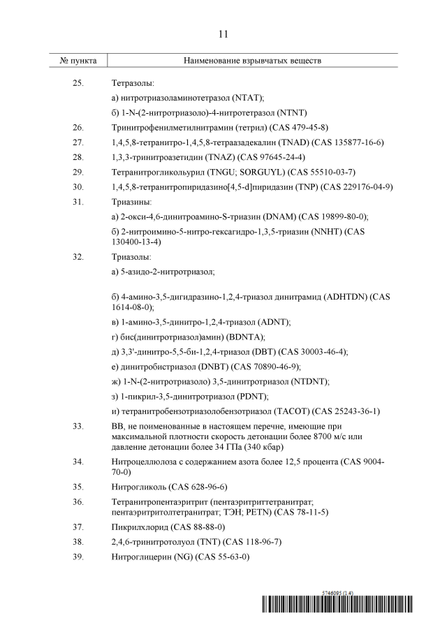
Постановление Правительства Российской Федерации от 19.07.2022 № 1299
"Об утверждении списка товаров и технологий двойного назначения, которые могут быть использованы при создании вооружений и военной техники и в отношении которых осуществляется экспортный контроль"
Номер опубликования: 0001202207220041
Дата опубликования: 22.07.2022
Страница №12 из 439:
Увеличить