Официальное опубликование правовых актов
ОФИЦИАЛЬНОЕ ОПУБЛИКОВАНИЕ
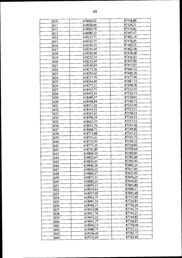
Приказ Министерства природных ресурсов и экологии Российской Федерации от 25.11.2021 № 884
"Об утверждении Положения о национальном парке "Красноярские Столбы"
(Зарегистрирован 01.04.2022 № 68037)
Номер опубликования: 0001202204040002
Дата опубликования: 04.04.2022
Страница №61 из 175:
Увеличить