Официальное опубликование правовых актов
ОФИЦИАЛЬНОЕ ОПУБЛИКОВАНИЕ
Приказ Министерства спорта Российской Федерации от 11.01.2022 № 6
"Об утверждении Единой всероссийской спортивной классификации (виды спорта, не включенные в программы Игр Олимпиады, Олимпийских зимних игр, а также не являющиеся военно-прикладными или служебно-прикладными видами спорта)"
(Зарегистрирован 15.02.2022 № 67297)
Номер опубликования: 0001202202150038
Дата опубликования: 15.02.2022
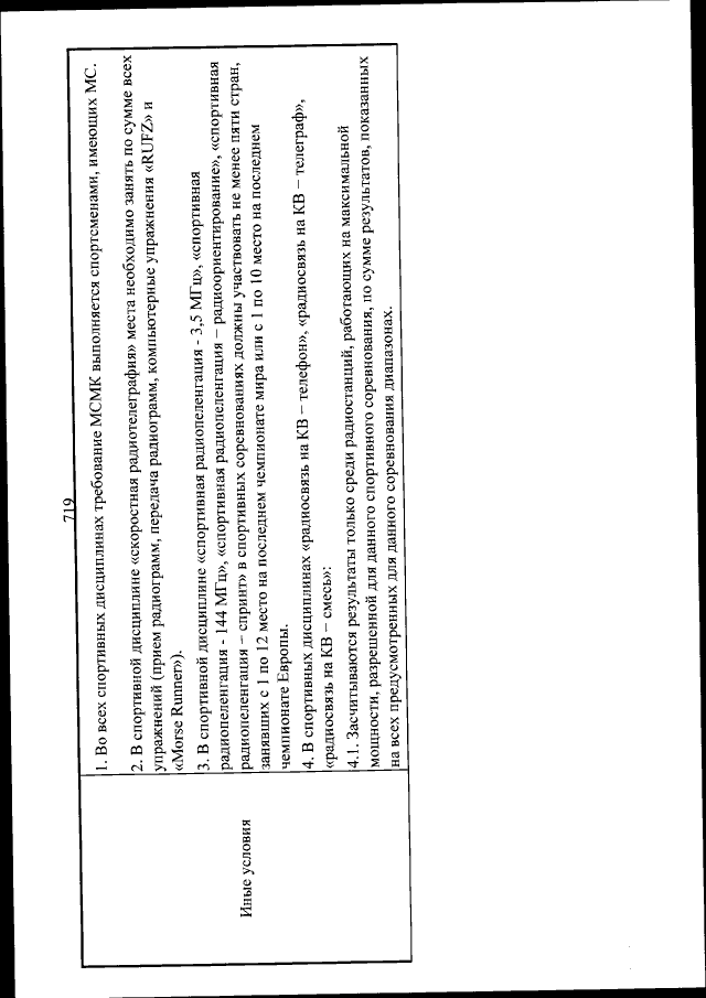
Страница №719 из 1687:
Увеличить