Официальное опубликование правовых актов
ОФИЦИАЛЬНОЕ ОПУБЛИКОВАНИЕ
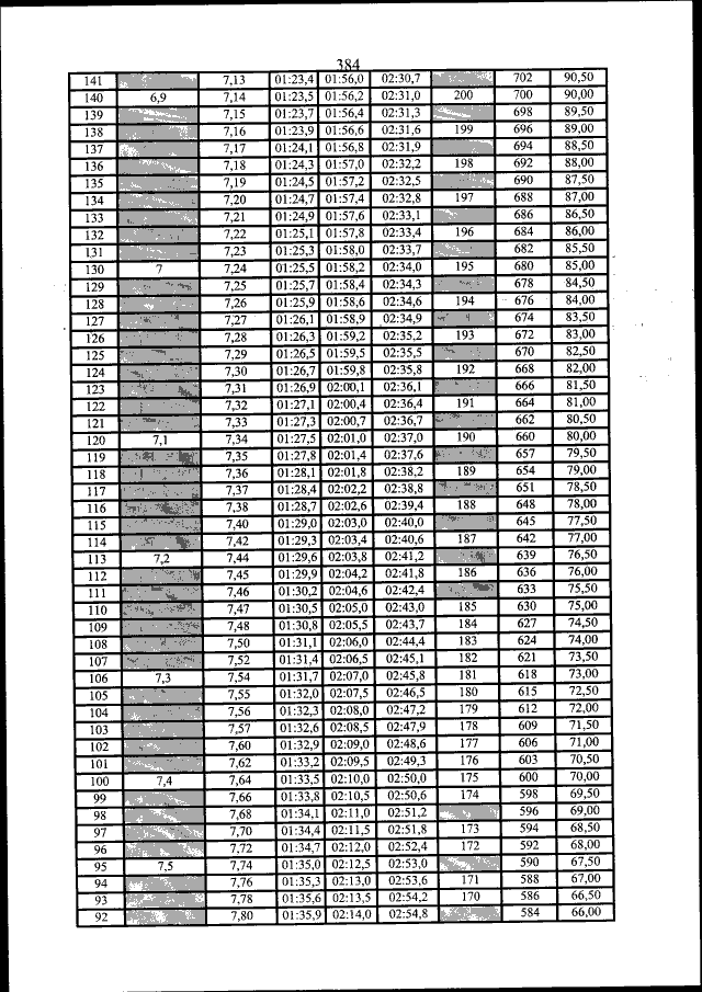
Приказ Министерства спорта Российской Федерации от 20.12.2021 № 999
"Об утверждении Единой всероссийской спортивной классификации (виды спорта, включенные в программу Игр Олимпиады)"
(Зарегистрирован 30.12.2021 № 66750)
Номер опубликования: 0001202112310016
Дата опубликования: 31.12.2021
Страница №384 из 762:
Увеличить