Официальное опубликование правовых актов
ОФИЦИАЛЬНОЕ ОПУБЛИКОВАНИЕ
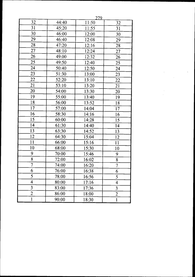
Приказ Министерства спорта Российской Федерации от 20.12.2021 № 997
"Об утверждении Единой всероссийской спортивной классификации (военно-прикладные и служебно-прикладные виды спорта)"
(Зарегистрирован 30.12.2021 № 66749)
Номер опубликования: 0001202112310008
Дата опубликования: 31.12.2021
Страница №279 из 310:
Увеличить