Официальное опубликование правовых актов
ОФИЦИАЛЬНОЕ ОПУБЛИКОВАНИЕ
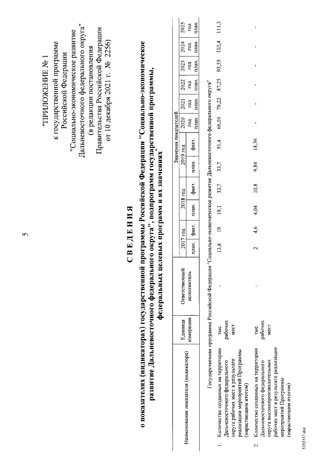
Постановление Правительства Российской Федерации от 10.12.2021 № 2256
"О внесении изменений в государственную программу Российской Федерации "Социально-экономическое развитие Дальневосточного федерального округа"
Номер опубликования: 0001202112140068
Дата опубликования: 14.12.2021
Страница №6 из 37:
Увеличить