Официальное опубликование правовых актов
ОФИЦИАЛЬНОЕ ОПУБЛИКОВАНИЕ
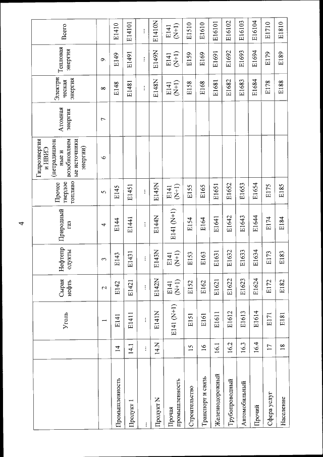
Приказ Министерства энергетики Российской Федерации от 29.10.2021 № 1169
"Об утверждении Порядка составления топливно-энергетических балансов субъектов Российской Федерации, муниципальных образований"
(Зарегистрирован 12.11.2021 № 65788)
Номер опубликования: 0001202111120011
Дата опубликования: 12.11.2021
Страница №34 из 49:
Увеличить