Официальное опубликование правовых актов
ОФИЦИАЛЬНОЕ ОПУБЛИКОВАНИЕ
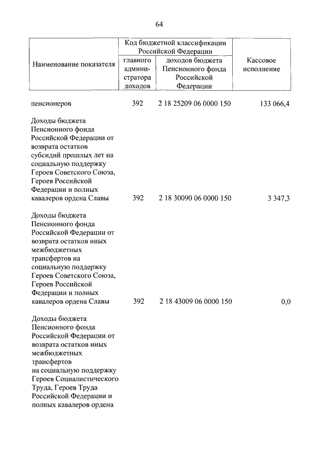
Федеральный закон от 25.10.2021 № 364-ФЗ
"Об исполнении бюджета Пенсионного фонда Российской Федерации за 2020 год"
Номер опубликования: 0001202110250013
Дата опубликования: 25.10.2021
Страница №64 из 117:
Увеличить