Приказ Министерства здравоохранения Российской Федерации от 14.09.2021 № 922н
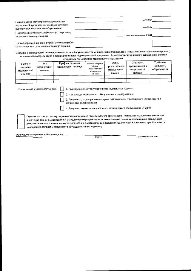
"Об утверждении порядка и сроков формирования, утверждения и ведения планов мероприятий по организации дополнительного профессионального образования медицинских работников по программам повышения квалификации, а также по приобретению и проведению ремонта медицинского оборудования, состава включаемых в них сведений, порядка и сроков формирования и направления заявок на включение мероприятий в такие планы мероприятий, а также форм указанных заявок"
(Зарегистрирован 08.10.2021 № 65344)
"Об утверждении порядка и сроков формирования, утверждения и ведения планов мероприятий по организации дополнительного профессионального образования медицинских работников по программам повышения квалификации, а также по приобретению и проведению ремонта медицинского оборудования, состава включаемых в них сведений, порядка и сроков формирования и направления заявок на включение мероприятий в такие планы мероприятий, а также форм указанных заявок"
(Зарегистрирован 08.10.2021 № 65344)
Номер опубликования: 0001202110080002
Дата опубликования:
08.10.2021
