Официальное опубликование правовых актов
ОФИЦИАЛЬНОЕ ОПУБЛИКОВАНИЕ
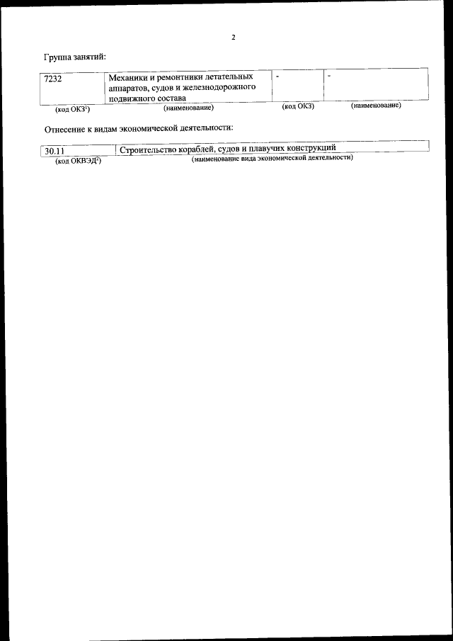
Приказ Министерства труда и социальной защиты Российской Федерации от 31.08.2021 № 595н
"Об утверждении профессионального стандарта "Сборщик-достройщик судовой"
(Зарегистрирован 05.10.2021 № 65281)
Номер опубликования: 0001202110050022
Дата опубликования: 05.10.2021
Страница №3 из 41:
Увеличить