Официальное опубликование правовых актов
ОФИЦИАЛЬНОЕ ОПУБЛИКОВАНИЕ
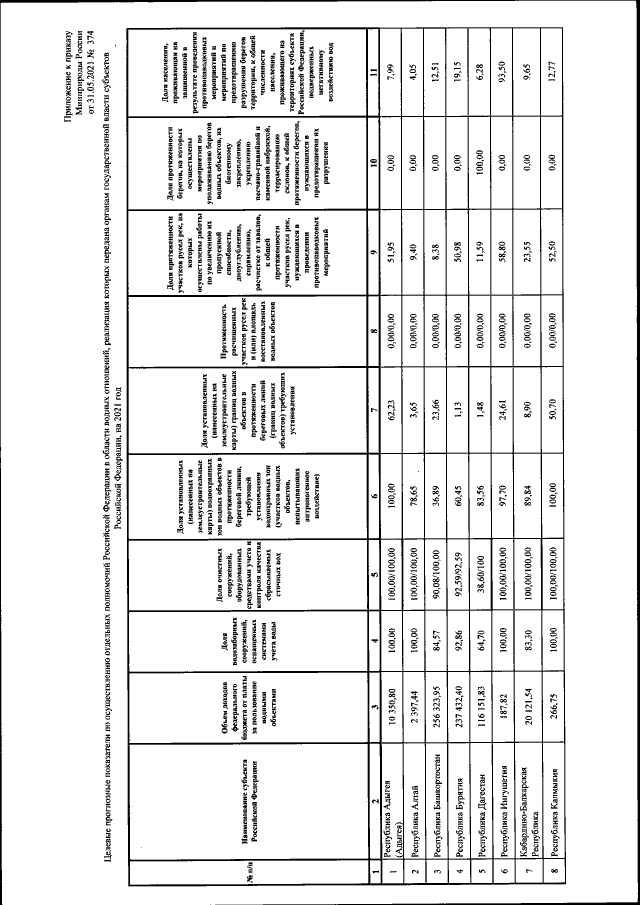
Приказ Министерства природных ресурсов и экологии Российской Федерации от 31.05.2021 № 374
"Об утверждении целевых прогнозных показателей по осуществлению отдельных полномочий Российской Федерации в области водных отношений, реализация которых передана органам государственной власти субъектов Российской Федерации, на 2021 год"
(Зарегистрирован 19.08.2021 № 64705)
Номер опубликования: 0001202108190044
Дата опубликования: 19.08.2021
Страница №2 из 6:
Увеличить