Официальное опубликование правовых актов
ОФИЦИАЛЬНОЕ ОПУБЛИКОВАНИЕ
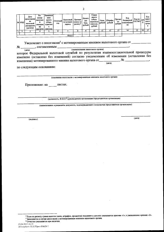
Приказ Федеральной налоговой службы от 11.05.2021 № ЕД-7-23/477@
"Об утверждении форм и форматов документов, используемых при составлении мотивированного мнения налогового органа в электронной форме, а также формы мотивированного мнения налогового органа и требований к его составлению"
(Зарегистрирован 10.08.2021 № 64586)
Номер опубликования: 0001202108100016
Дата опубликования: 10.08.2021
Страница №15 из 67:
Увеличить