Официальное опубликование правовых актов
ОФИЦИАЛЬНОЕ ОПУБЛИКОВАНИЕ
Приказ Министерства культуры Российской Федерации от 07.10.2020 № 1196
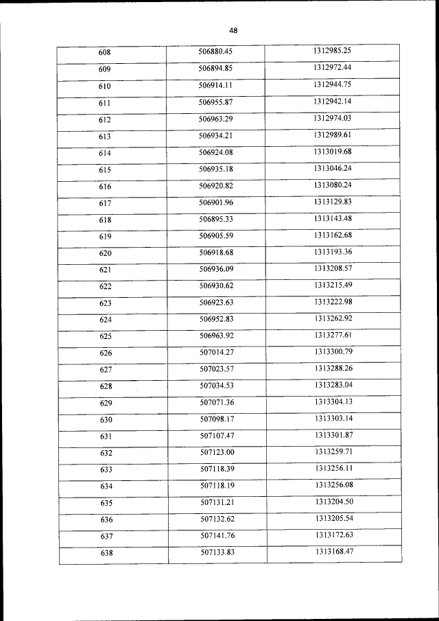
"О включении города Боровска Калужской области в перечень исторических поселений федерального значения, утверждении предмета охраны, границ территории и требований к градостроительным регламентам в границах территории исторического поселения федерального значения город Боровск Калужской области"
(Зарегистрирован 16.04.2021 № 63153)
Номер опубликования: 0001202104160024
Дата опубликования: 16.04.2021
Страница №48 из 257:
Увеличить