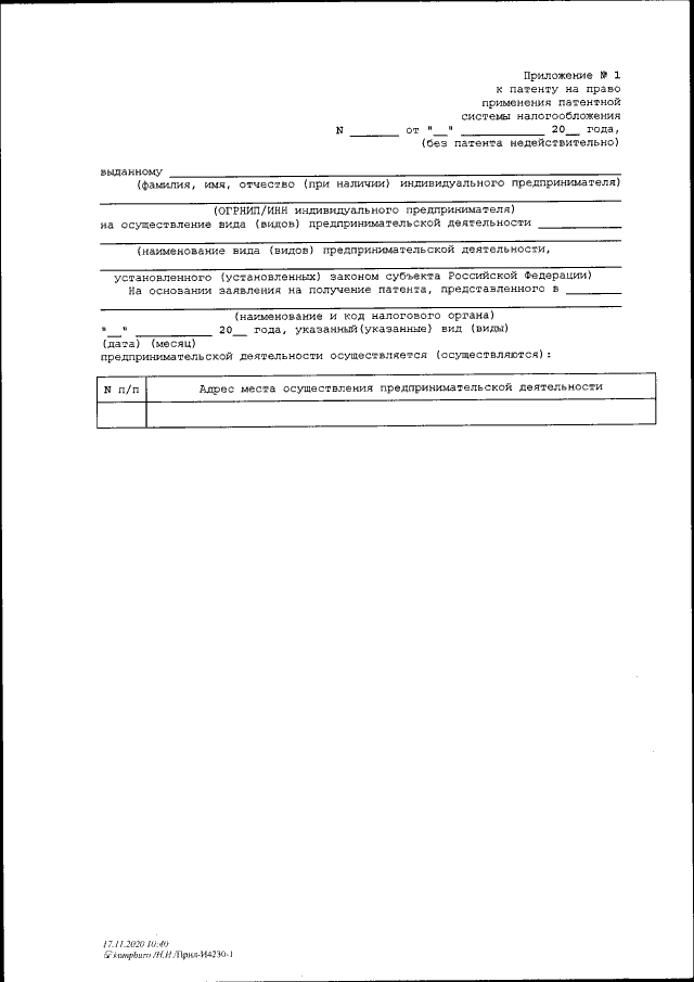
Приказ Федеральной налоговой службы от 04.12.2020 № КН-7-3/881@
"Об утверждении формы патента на право применения патентной системы налогообложения и о признании утратившим силу приказа Федеральной налоговой службы от 26.11.2014 № ММВ-7-3/599@"
(Зарегистрирован 12.01.2021 № 62055)
"Об утверждении формы патента на право применения патентной системы налогообложения и о признании утратившим силу приказа Федеральной налоговой службы от 26.11.2014 № ММВ-7-3/599@"
(Зарегистрирован 12.01.2021 № 62055)
Номер опубликования: 0001202101130014
Дата опубликования:
13.01.2021
