Официальное опубликование правовых актов
ОФИЦИАЛЬНОЕ ОПУБЛИКОВАНИЕ
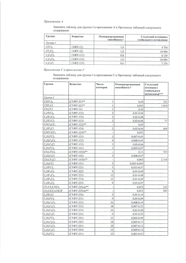
Поправка к Монреальскому протоколу по веществам, разрушающим озоновый слой
(принята 16 октября 2016 года, вступила в силу для Российской Федерации 1 января 2021 года)
Номер опубликования: 0001202101110004
Дата опубликования: 11.01.2021
Страница №7 из 9:
Увеличить