Официальное опубликование правовых актов
ОФИЦИАЛЬНОЕ ОПУБЛИКОВАНИЕ
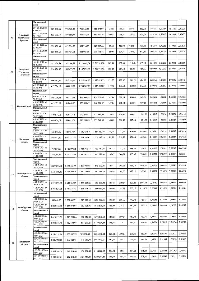
Приказ Федеральной антимонопольной службы от 26.11.2020 № 1162/20
"Об утверждении предельных минимальных и максимальных уровней тарифов на услуги по передаче электрической энергии, оказываемые потребителям, не относящимся к населению и приравненным к нему категориям потребителей, по субъектам Российской Федерации на 2021 год"
(Зарегистрирован 29.12.2020 № 61921)
Номер опубликования: 0001202012300156
Дата опубликования: 30.12.2020
Страница №11 из 20: