Официальное опубликование правовых актов
ОФИЦИАЛЬНОЕ ОПУБЛИКОВАНИЕ
Приказ Федеральной службы войск национальной гвардии Российской Федерации от 06.11.2020 № 444
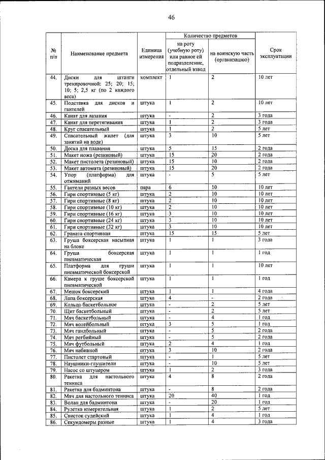
"Об утверждении Порядка обеспечения и норм снабжения (расхода) специальным и санитарно-хозяйственным имуществом, палатками, спортивным имуществом, оборудованием и инвентарем, моющими и ремонтными материалами войск национальной гвардии Российской Федерации"
(Зарегистрирован 10.12.2020 № 61373)
Номер опубликования: 0001202012100029
Дата опубликования: 10.12.2020
Страница №46 из 74:
Увеличить