Официальное опубликование правовых актов
ОФИЦИАЛЬНОЕ ОПУБЛИКОВАНИЕ
Приказ Министерства транспорта Российской Федерации от 07.09.2020 № 356
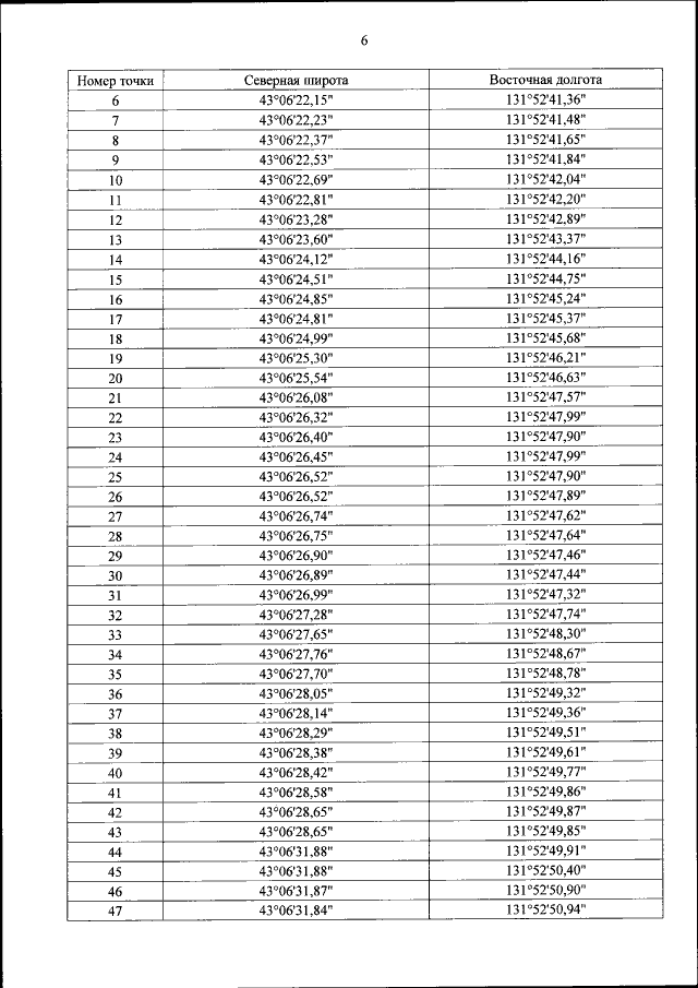
"Об открытии морского грузо-пассажирского постоянного многостороннего пункта пропуска через государственную границу Российской Федерации в морском порту Владивосток, реконструированного в пределах территории универсального перегрузочного комплекса АО "Паритет"
(Зарегистрирован 07.12.2020 № 61311)
Номер опубликования: 0001202012080084
Дата опубликования: 08.12.2020
Страница №8 из 25:
Увеличить