Официальное опубликование правовых актов
ОФИЦИАЛЬНОЕ ОПУБЛИКОВАНИЕ
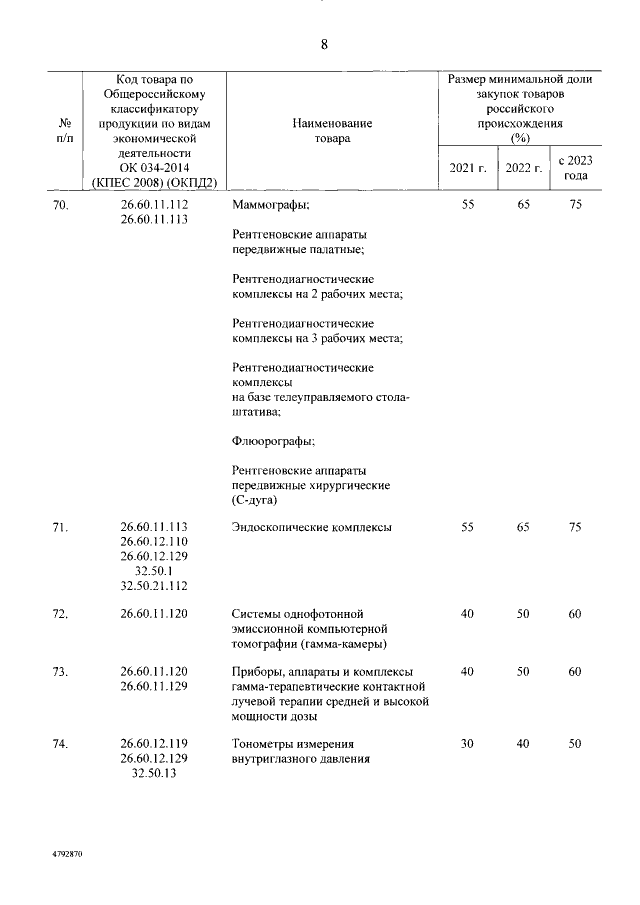
Постановление Правительства Российской Федерации от 03.12.2020 № 2013
"О минимальной доле закупок товаров российского происхождения"
Номер опубликования: 0001202012070006
Дата опубликования: 07.12.2020
Страница №10 из 25:
Увеличить