Официальное опубликование правовых актов
ОФИЦИАЛЬНОЕ ОПУБЛИКОВАНИЕ
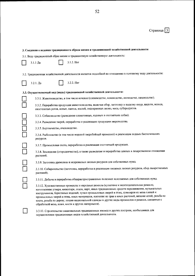
Приказ Федерального агентства по делам национальностей от 29.05.2020 № 65
"Об утверждении административного регламента предоставления государственной услуги по учету лиц, относящихся к коренным малочисленным народам Российской Федерации"
(Зарегистрирован 07.10.2020 № 60282)
Номер опубликования: 0001202010070017
Дата опубликования: 07.10.2020
Страница №53 из 60:
Увеличить