Официальное опубликование правовых актов
ОФИЦИАЛЬНОЕ ОПУБЛИКОВАНИЕ
Постановление Правительства Российской Федерации от 02.09.2020 № 1338
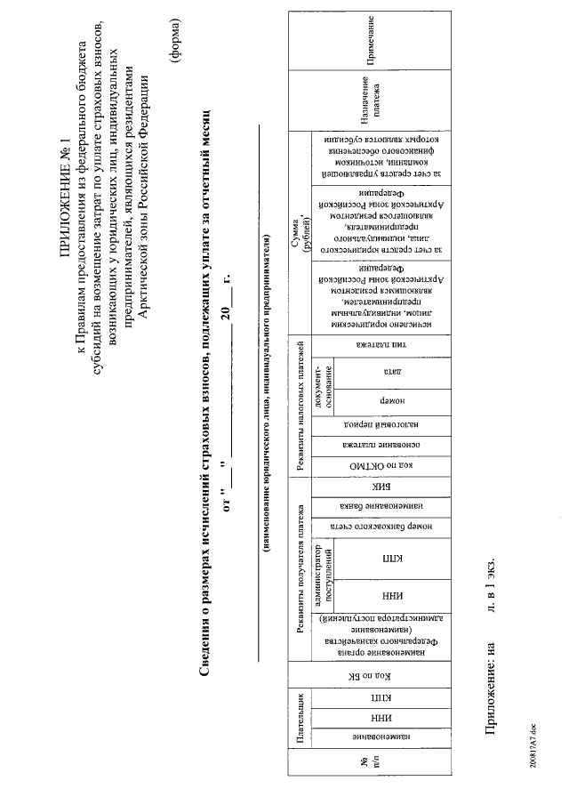
"Об утверждении Правил предоставления из федерального бюджета субсидий на возмещение затрат по уплате страховых взносов, возникающих у юридических лиц, индивидуальных предпринимателей, являющихся резидентами Арктической зоны Российской Федерации"
Номер опубликования: 0001202009070010
Дата опубликования: 07.09.2020
Страница №12 из 14:
Увеличить