Официальное опубликование правовых актов
ОФИЦИАЛЬНОЕ ОПУБЛИКОВАНИЕ
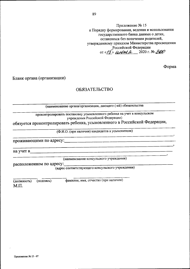
Приказ Министерства просвещения Российской Федерации от 15.06.2020 № 300
"Об утверждении Порядка формирования, ведения и использования государственного банка данных о детях, оставшихся без попечения родителей"
(Зарегистрирован 10.08.2020 № 59222)
Номер опубликования: 0001202008100017
Дата опубликования: 10.08.2020
Страница №91 из 108:
Увеличить