Приказ Федеральной антимонопольной службы от 10.07.2020 № 638/20
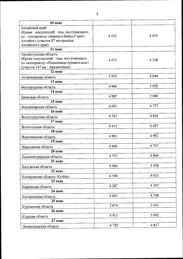
"Об утверждении оптовых цен на газ, используемых в качестве предельных минимальных и предельных максимальных уровней оптовых цен на газ, добываемый ПАО "Газпром" и его аффилированными лицами, реализуемый потребителям Российской Федерации, указанным в пункте 15.1 Основных положений формирования и государственного регулирования цен на газ, тарифов на услуги по его транспортировке и платы за технологическое присоединение газоиспользующего оборудования к газораспределительным сетям на территории Российской Федерации, утвержденных постановлением Правительства Российской Федерации от 29 декабря 2000 года № 1021"
(Зарегистрирован 17.07.2020 № 59000)
"Об утверждении оптовых цен на газ, используемых в качестве предельных минимальных и предельных максимальных уровней оптовых цен на газ, добываемый ПАО "Газпром" и его аффилированными лицами, реализуемый потребителям Российской Федерации, указанным в пункте 15.1 Основных положений формирования и государственного регулирования цен на газ, тарифов на услуги по его транспортировке и платы за технологическое присоединение газоиспользующего оборудования к газораспределительным сетям на территории Российской Федерации, утвержденных постановлением Правительства Российской Федерации от 29 декабря 2000 года № 1021"
(Зарегистрирован 17.07.2020 № 59000)
Номер опубликования: 0001202007170037
Дата опубликования:
17.07.2020
