Приказ Министерства внутренних дел Российской Федерации от 27.09.2019 № 660
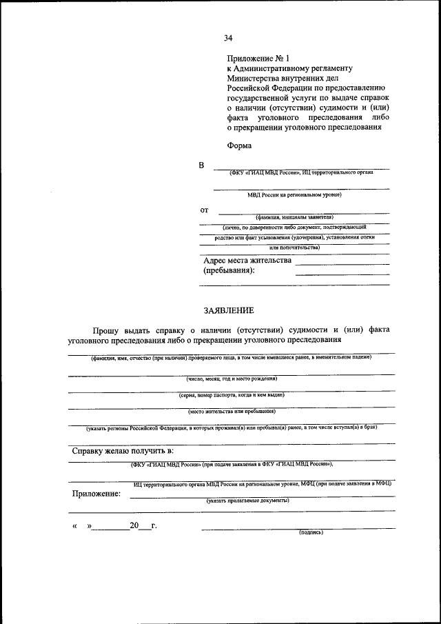
"Об утверждении Административного регламента Министерства внутренних дел Российской Федерации по предоставленное государственной услуги по выдаче справок о наличии (отсутствии) судимости и (или) факта уголовного преследования либо о прекращении уголовного преследования"
(Зарегистрирован 29.01.2020 № 57322)
"Об утверждении Административного регламента Министерства внутренних дел Российской Федерации по предоставленное государственной услуги по выдаче справок о наличии (отсутствии) судимости и (или) факта уголовного преследования либо о прекращении уголовного преследования"
(Зарегистрирован 29.01.2020 № 57322)
Номер опубликования: 0001202001300045
Дата опубликования:
30.01.2020
