Официальное опубликование правовых актов
ОФИЦИАЛЬНОЕ ОПУБЛИКОВАНИЕ
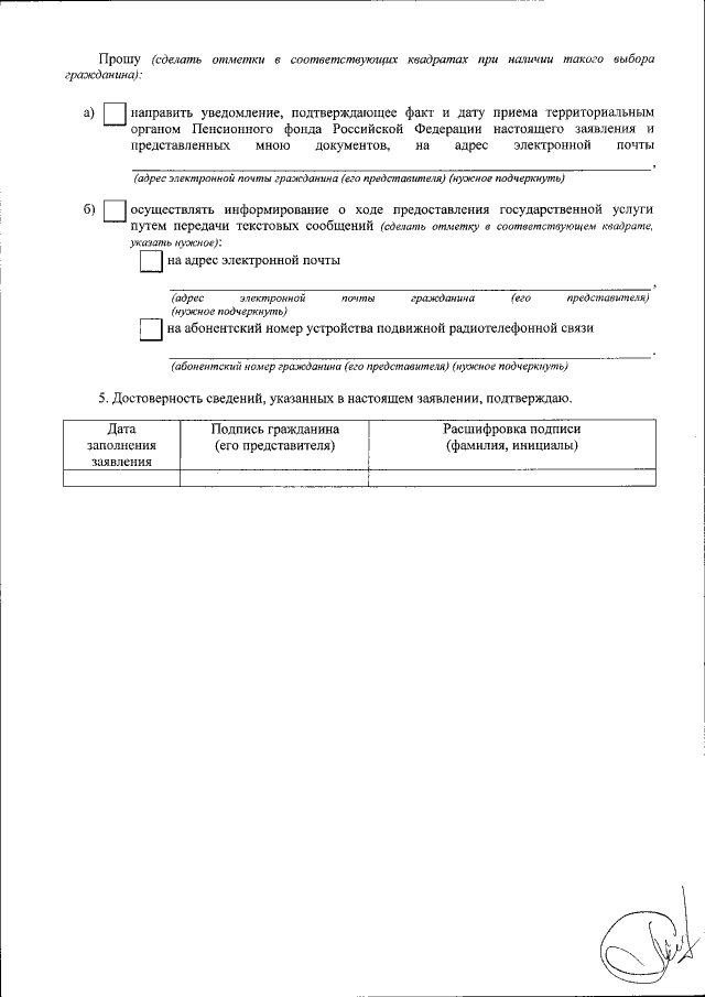
Постановление Правления Пенсионного фонда Российской Федерации от 30.04.2019 № 269п
"Об утверждении Административного регламента предоставления Пенсионным фондом Российской Федерации государственной услуги по осуществлению ежемесячных выплат лицам, осуществляющим уход за детьми-инвалидами или инвалидами с детства I группы"
(Зарегистрирован 14.10.2019 № 56228)
Номер опубликования: 0001201910150034
Дата опубликования: 15.10.2019
Страница №75 из 98:
Увеличить