Официальное опубликование правовых актов
ОФИЦИАЛЬНОЕ ОПУБЛИКОВАНИЕ
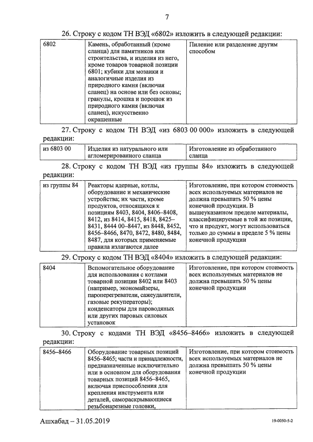
Протокол о внесении изменений в Соглашение о Правилах определения страны происхождения товаров в Содружестве Независимых Государств от 20 ноября 2009 года, подписанный 31 мая 2019 года
(ратифицирован Федеральным законом от 2 декабря 2019 года № 388-ФЗ, вступил в силу 22 января 2020 года, письмо МИД России от 21.01.2020 № 844/дп)
Номер опубликования: 0001201907300019
Дата опубликования: 30.07.2019
Страница №7 из 12:
Увеличить