Официальное опубликование правовых актов
ОФИЦИАЛЬНОЕ ОПУБЛИКОВАНИЕ
Приказ Министерства культуры Российской Федерации от 14.12.2018 № 2221
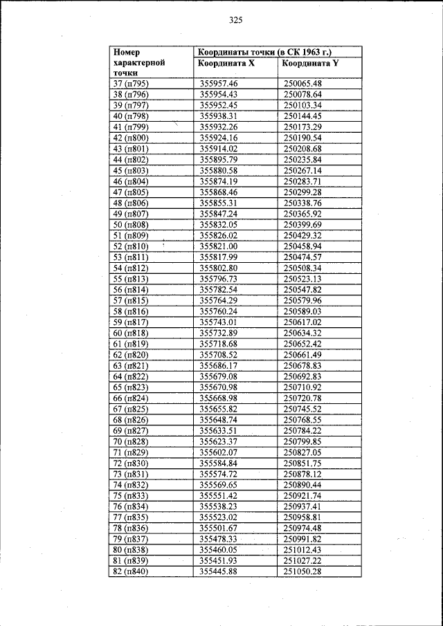
"Об утверждении требований к градостроительным регламентам в границах территории исторического поселения федерального значения город Плес Ивановской области, а также требований к градостроительным регламентам в границах участков, расположенных за границами территории исторического поселения (на территории Костромской и Ивановской областей), в которых находятся точки (сектора) основных видовых раскрытий композиционно-видовых связей (панорам), составляющих предмет охраны исторического поселения федерального значения город Плес Ивановской области"
(Зарегистрирован 29.01.2019 № 53616)
Номер опубликования: 0001201902010001
Дата опубликования: 01.02.2019
Страница №325 из 342:
Увеличить