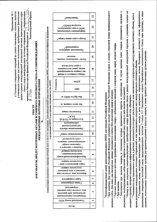
Приказ Министерства финансов Российской Федерации от 21.12.2018 № 279н
"Об определении требований к назначенным операторам почтовой связи и условий совершения операций по уплате таможенных пошлин, налогов в отношении товаров для личного пользования, приобретенных физическим лицом в рамках международной электронной торговли, пересылаемых в адрес такого лица в международных почтовых отправлениях"
(Зарегистрирован 27.12.2018 № 53197)
"Об определении требований к назначенным операторам почтовой связи и условий совершения операций по уплате таможенных пошлин, налогов в отношении товаров для личного пользования, приобретенных физическим лицом в рамках международной электронной торговли, пересылаемых в адрес такого лица в международных почтовых отправлениях"
(Зарегистрирован 27.12.2018 № 53197)
Номер опубликования: 0001201812280075
Дата опубликования:
28.12.2018
