Официальное опубликование правовых актов
ОФИЦИАЛЬНОЕ ОПУБЛИКОВАНИЕ
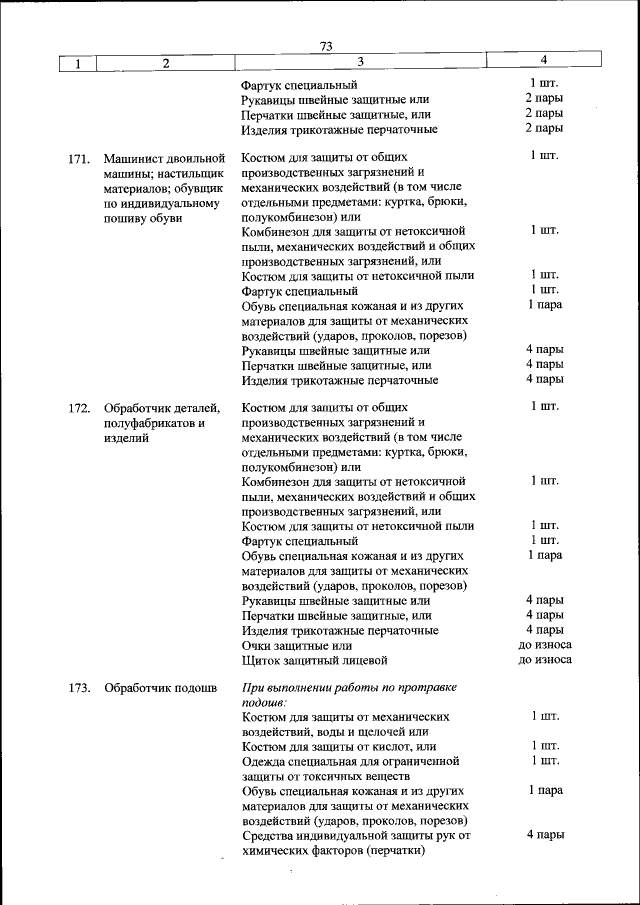
Приказ Министерства труда и социальной защиты Российской Федерации от 10.12.2018 № 778н
"Об утверждении Типовых норм бесплатной выдачи специальной одежды, специальной обуви и других средств индивидуальной защиты работникам организаций легкой промышленности, занятым на работах с вредными и (или) опасными условиями труда, а также на работах, выполняемых в особых температурных условиях или связанных с загрязнением"
(Зарегистрирован 19.12.2018 № 53067)
Номер опубликования: 0001201812200025
Дата опубликования: 20.12.2018
Страница №74 из 161:
Увеличить