Официальное опубликование правовых актов
ОФИЦИАЛЬНОЕ ОПУБЛИКОВАНИЕ
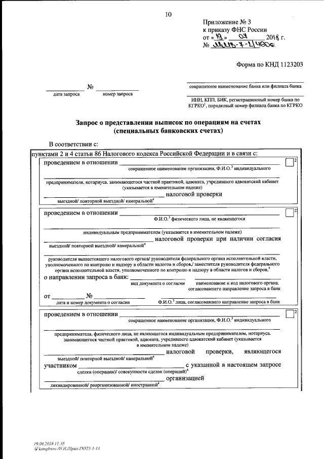
Приказ Федеральной налоговой службы от 19.07.2018 № ММВ-7-2/460@
"Об утверждении форм и форматов направления налоговым органом запросов в банк (оператору по переводу денежных средств) в электронной форме"
(Зарегистрирован 02.10.2018 № 52306)
Номер опубликования: 0001201810030021
Дата опубликования: 03.10.2018
Страница №12 из 114:
Увеличить