Официальное опубликование правовых актов
ОФИЦИАЛЬНОЕ ОПУБЛИКОВАНИЕ
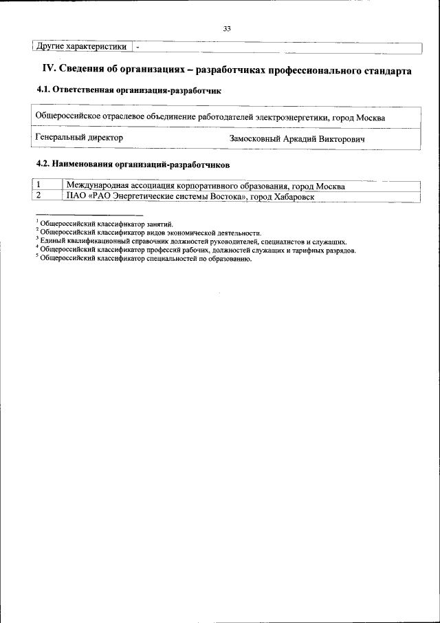
Приказ Министерства труда и социальной защиты Российской Федерации от 18.06.2018 № 391н
"Об утверждении профессионального стандарта "Работник по формированию прогнозов потребления электроэнергии и мощности"
(Зарегистрирован 09.07.2018 № 51554)
Номер опубликования: 0001201807100020
Дата опубликования: 10.07.2018
Страница №34 из 34:
Увеличить