Официальное опубликование правовых актов
ОФИЦИАЛЬНОЕ ОПУБЛИКОВАНИЕ
Приказ Министерства транспорта Российской Федерации от 04.05.2018 № 178
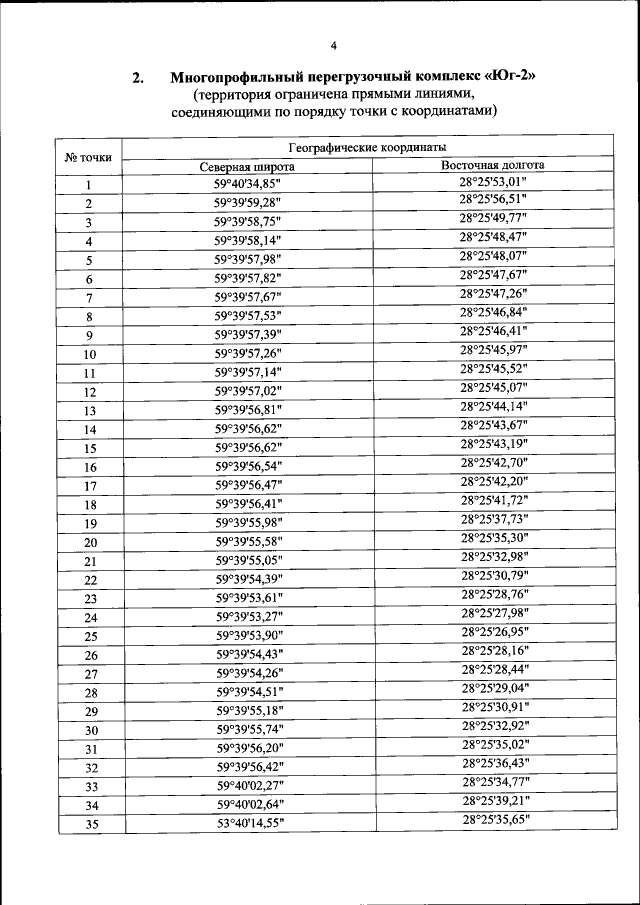
"Об утверждении пределов морского грузо-пассажирского постоянного многостороннего пункта пропуска через государственную границу Российской Федерации в морском порту Усть-Луга (Ленинградская область)"
(Зарегистрирован 31.05.2018 № 51240)
Номер опубликования: 0001201806010022
Дата опубликования: 01.06.2018
Страница №4 из 15:
Увеличить