Официальное опубликование правовых актов
ОФИЦИАЛЬНОЕ ОПУБЛИКОВАНИЕ
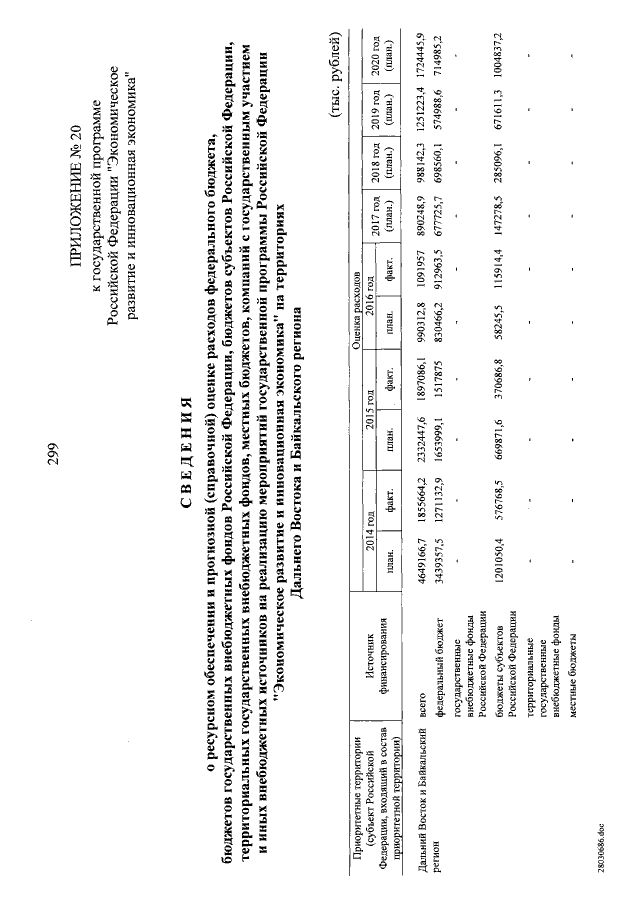
Постановление Правительства Российской Федерации от 31.03.2018 № 381
"О внесении изменений в государственную программу Российской Федерации "Экономическое развитие и инновационная экономика"
Номер опубликования: 0001201804060016
Дата опубликования: 06.04.2018
Страница №300 из 342:
Увеличить