Официальное опубликование правовых актов
ОФИЦИАЛЬНОЕ ОПУБЛИКОВАНИЕ
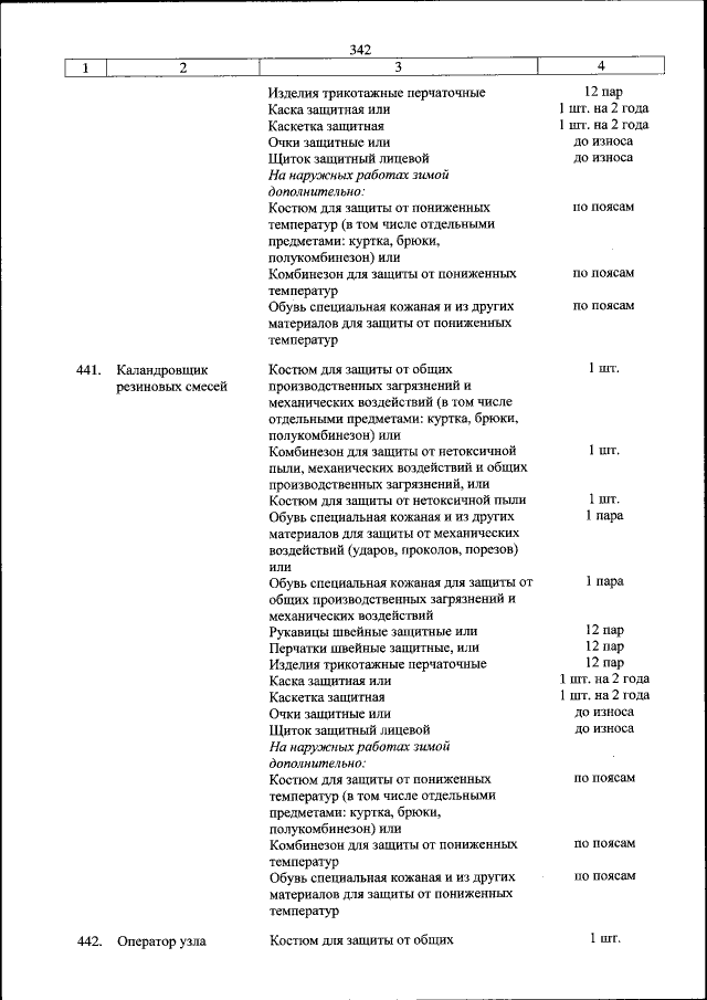
Приказ Министерства труда и социальной защиты Российской Федерации от 27.12.2017 № 882н
"Об утверждении Типовых норм бесплатной выдачи специальной одежды, специальной обуви и других средств индивидуальной защиты работникам промышленности строительных материалов, стекольной и фарфоро-фаянсовой промышленности, занятым на работах с вредными и (или) опасными условиями труда, а также на работах, выполняемых в особых температурных условиях или связанных с загрязнением"
(Зарегистрирован 01.03.2018 № 50193)
Номер опубликования: 0001201803020049
Дата опубликования: 02.03.2018
Страница №343 из 403:
Увеличить