Официальное опубликование правовых актов
ОФИЦИАЛЬНОЕ ОПУБЛИКОВАНИЕ
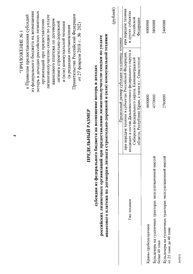
Постановление Правительства Российской Федерации от 27.02.2018 № 202
"О внесении изменений в постановление Правительства Российской Федерации от 3 мая 2017 г. № 518"
Номер опубликования: 0001201803010013
Дата опубликования: 01.03.2018
Страница №6 из 12:
Увеличить