Официальное опубликование правовых актов
ОФИЦИАЛЬНОЕ ОПУБЛИКОВАНИЕ
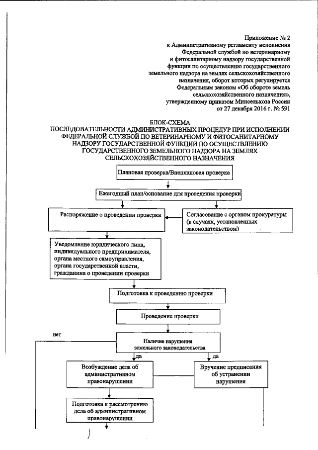
Приказ Министерства сельского хозяйства Российской Федерации от 27.12.2016 № 591
"Об утверждении административного регламента исполнения Федеральной службой по ветеринарному и фитосанитарному надзору государственной функции по осуществлению государственного земельного надзора на землях сельскохозяйственного назначения, оборот которых регулируется Федеральным законом "Об обороте земель сельскохозяйственного назначения"
(Зарегистрирован 21.03.2017 № 46052)
Номер опубликования: 0001201703220021
Дата опубликования: 22.03.2017
Страница №60 из 62:
Увеличить