Официальное опубликование правовых актов
ОФИЦИАЛЬНОЕ ОПУБЛИКОВАНИЕ
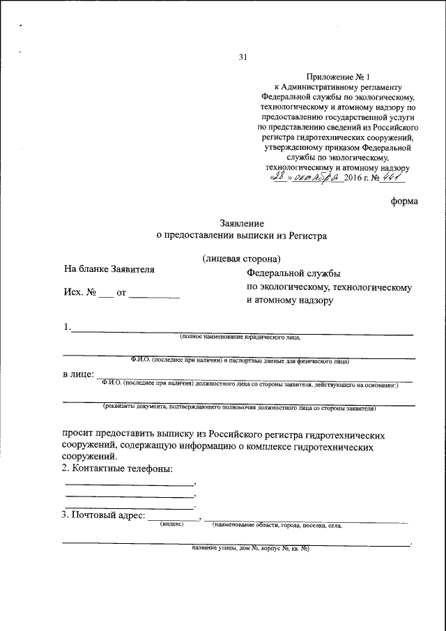
Приказ Федеральной службы по экологическому, технологическому и атомному надзору от 28.10.2016 № 441
"Об утверждении Административного регламента Федеральной службы по экологическому, технологическому и атомному надзору по предоставлению государственной услуги по представлению сведений из Российского регистра гидротехнических сооружений"
(Зарегистрирован 28.12.2016 № 45026)
Номер опубликования: 0001201612290109
Дата опубликования: 29.12.2016
Страница №32 из 37:
Увеличить