Официальное опубликование правовых актов
ОФИЦИАЛЬНОЕ ОПУБЛИКОВАНИЕ
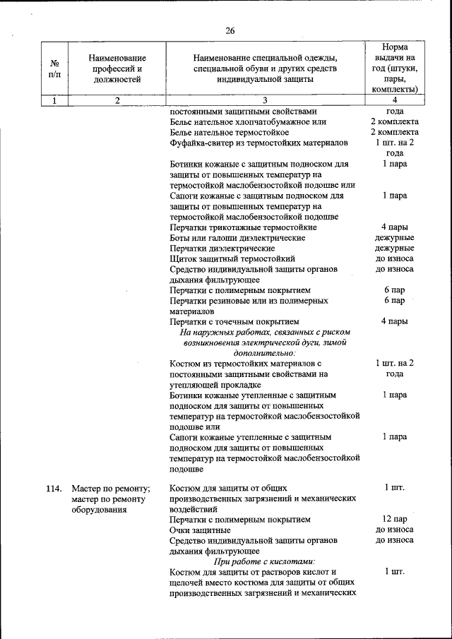
Приказ Министерства труда и социальной защиты Российской Федерации от 17.11.2016 № 665н
"Об утверждении Типовых норм бесплатной выдачи специальной одежды, специальной обуви и других средств индивидуальной защиты работникам целлюлозно-бумажного, гидролизного, лесохимического и деревообрабатывающего производств, занятым на работах с вредными и (или) опасными условиями труда, а также выполняемых в особых температурных условиях или связанных с загрязнением"
(Зарегистрирован 07.12.2016 № 44602)
Номер опубликования: 0001201612080029
Дата опубликования: 08.12.2016
Страница №27 из 75:
Увеличить