Официальное опубликование правовых актов
ОФИЦИАЛЬНОЕ ОПУБЛИКОВАНИЕ
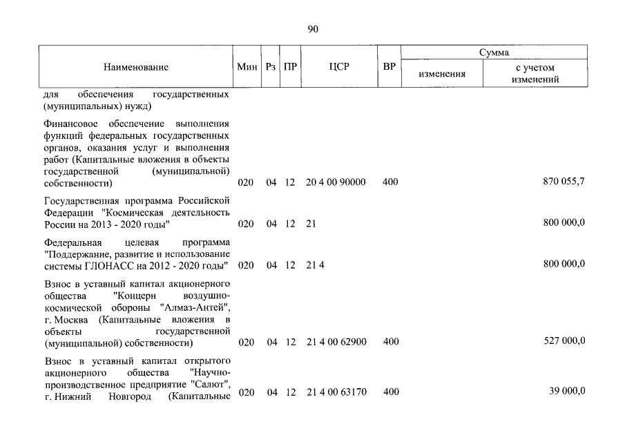
Федеральный закон от 22.11.2016 № 397-ФЗ
"О внесении изменений в Федеральный закон "О федеральном бюджете на 2016 год"
Номер опубликования: 0001201611240001
Дата опубликования: 24.11.2016
Страница №90 из 2945:
Увеличить