Официальное опубликование правовых актов
ОФИЦИАЛЬНОЕ ОПУБЛИКОВАНИЕ
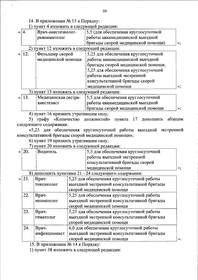
Приказ Министерства здравоохранения Российской Федерации от 22.01.2016 № 33н
"О внесении изменений в Порядок оказания скорой, в том числе скорой специализированной, медицинской помощи, утвержденный приказом Министерства здравоохранения Российской Федерации от 20 июня 2013 г. № 388н"
(Зарегистрирован 09.03.2016 № 41353)
Номер опубликования: 0001201603140021
Дата опубликования: 14.03.2016
Страница №60 из 62:
Увеличить