Официальное опубликование правовых актов
ОФИЦИАЛЬНОЕ ОПУБЛИКОВАНИЕ
Приказ Министерства труда и социальной защиты Российской Федерации от 29.12.2015 № 1176н
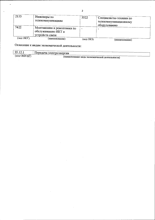
"Об утверждении профессионального стандарта "Работник по обслуживанию и ремонту оборудования связи электрических сетей"
(Зарегистрирован 28.01.2016 № 40851)
Номер опубликования: 0001201602020045
Дата опубликования: 02.02.2016
Страница №3 из 32:
Увеличить