Официальное опубликование правовых актов
ОФИЦИАЛЬНОЕ ОПУБЛИКОВАНИЕ
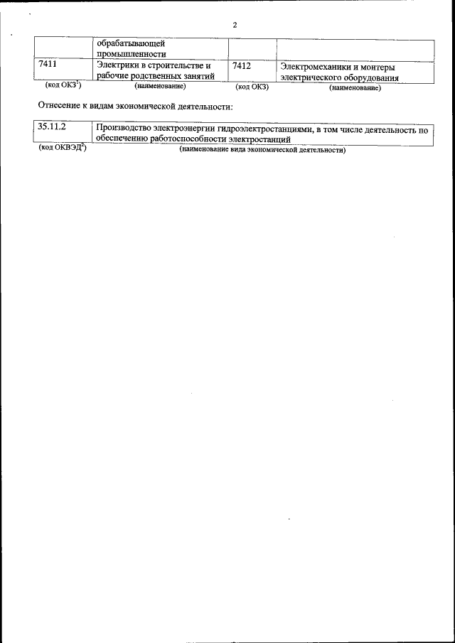
Приказ Министерства труда и социальной защиты Российской Федерации от 24.12.2015 № 1119н
"Об утверждении профессионального стандарта "Работник по ремонту электротехнического оборудования гидроэлектростанций/гидроаккумулирующих электростанций"
(Зарегистрирован 26.01.2016 № 40794)
Номер опубликования: 0001201602010019
Дата опубликования: 01.02.2016
Страница №3 из 38:
Увеличить