Официальное опубликование правовых актов
ОФИЦИАЛЬНОЕ ОПУБЛИКОВАНИЕ
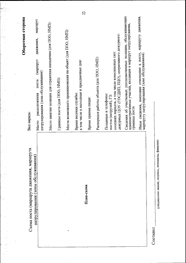
Приказ Министерства внутренних дел Российской Федерации от 21.09.2015 № 900
"Об утверждении Наставления по организации деятельности строевых подразделений вневедомственной охраны полиции"
(Зарегистрирован 19.11.2015 № 39776)
Номер опубликования: 0001201511230051
Дата опубликования: 23.11.2015
Страница №52 из 75:
Увеличить