Официальное опубликование правовых актов
ОФИЦИАЛЬНОЕ ОПУБЛИКОВАНИЕ
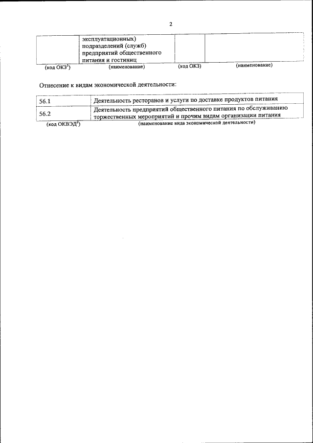
Приказ Министерства труда и социальной защиты Российской Федерации от 07.05.2015 № 281н
"Об утверждении профессионального стандарта "Руководитель предприятия питания"
(Зарегистрирован 02.06.2015 № 37510)
Номер опубликования: 0001201506040013
Дата опубликования: 04.06.2015
Страница №3 из 19:
Увеличить