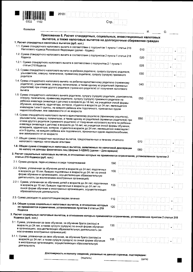
Приказ Федеральной налоговой службы от 19.09.2024 № ЕД-7-11/757@
"Об утверждении формы налоговой декларации по налогу на доходы физических лиц (форма З-НДФЛ), порядка ее заполнения, а также формата представления налоговой декларации по налогу на доходы физических лиц в электронной форме"
(Зарегистрирован 31.10.2024 № 79974)
"Об утверждении формы налоговой декларации по налогу на доходы физических лиц (форма З-НДФЛ), порядка ее заполнения, а также формата представления налоговой декларации по налогу на доходы физических лиц в электронной форме"
(Зарегистрирован 31.10.2024 № 79974)
Номер опубликования: 0001202410310006
Дата опубликования:
31.10.2024
